- Общество
- Политика
- Бизнес
- Авто
- Спорт
- Происшествия
- Наука
- Афиша
- Культура
- Новости компаний
- Погода
- ЖКХ
- Статистика
- Народный календарь
- Дороги и транспорт
- Закон и порядок
- Образование
- Экономика и финансы
- Благоустройство
- Здоровье
- Недвижимость
- Работа
- Фотофакт
- Экология
- СВО
- Наше будущее
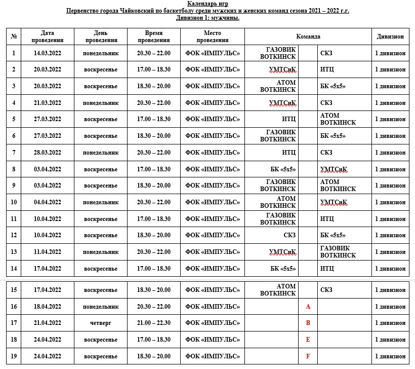
Время баскетбола
Ранее мы сообщали о том, что ведётся набор команд на баскетбольные соревнования. Сейчас список команд определён, а ближайшая игра состоится уже сегодня вечером, 14 марта.
Список команд первого мужского дивизиона:
«Газовик Воткинск» из Воткинского ЛПУМГ, «Атом Воткинск», «УМТСиК», «БК «5х5», «ИТЦ», «СКЗ».
Список команд второго мужского дивизиона:
«Русгидро», «Галактика», «Академия» из ЧГАФКиС, «WiMAX», «Атлант», «ЧТПТиУ».
Список третьего дивизиона, женские команды:
«Скиф», «ВСБ», «Пантеры».
Соревнования в мужских дивизионах пройдут в два этапа. Первая игра состоится сегодня, 14 марта, в ФОК «Импульс» с 20:30 до 22:00 между командами первого дивизиона: «Газовик Воткинск» - «СКЗ».
Вот полное на данный момент расписание ближайших игр:


Фото: https://vk.com/bc_galactica
Популярные новости
«Золотые» представительницы биатлона
Две чайковские биатлонистки в составе пермской сборной команды выиграли «золото» на летнем первенстве России по биатлону в Красноярске.
Все на «Осенний марафон»
Активных жителей Чайковского округа приглашают пройти пешеходные дистанции, зарядиться энергией и насладиться природной красотой родных мест.
Чайковские юнармейцы приняли «вызов»
Две команды из Чайковского достойно представили округ на краевом фестивале «Юнармейский вызов».
Студенты сдают ГТО
Муниципальный этап Всероссийского физкультурно-спортивного комплекса ГТО среди студентов профессиональных образовательных учреждений состоится в конце сентября.
«Центральный» - в центре внимания
В здании стадиона «Центральный», который является центром притяжения спортивной жизни Чайковского округа, идёт обновление.
Чайковский готовится принять чемпионат России по летнему биатлону
Главные старты этого сезона пройдут 11, 13 и 14 сентября в Чайковском на лыжно-биатлонном комплексе ФЦП по ЗВС «Снежинка» имени А.А. Данилова.
Читайте также
Чайковский: самое интересное
Подпишитесь на наши новости